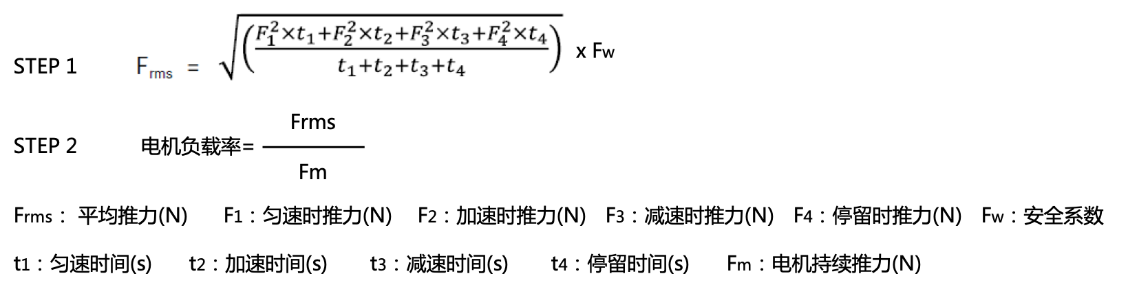
T1:加速时间
从0加速到设定速度所需要的时间
T2:最大速度运动时间
如行程较短,可能在未达到设定速度之前就开始减速
T3:减速时间
从设定速度到停止所需要的时间
T4:停留时间
滑台停止后,等待其他机构动作的时间
