
1个动子

每个动子都可以单独控制

2个动子

每个动子都可以单独控制

3个动子

每个动子都可以单独控制

4个动子

每个动子都可以单独控制
(!)亲爱的顾客,您所使用的IE浏览器,微软公司已不再提供技术支持,为避免可能产生的米思米网站浏览体验影响,建议您使用Windows10系统及最新的谷歌Chrome或微软Edge浏览器访问本网站。 若您使用360浏览器的兼容模式,请切换到极速模式继续访问。也可以通过应用市场下载米思米闪购商城APP进行访问,谢谢。
(!)亲爱的顾客,您所使用的Edge浏览器版本过低,为避免可能产生的米思米网站浏览体验影响,建议您升级使用最新的Edge浏览器访问本网站。 您也可以通过应用市场下载米思米闪购商城APP进行访问,谢谢。
动子数量
安装方式
使用条件
模组行程
电气部
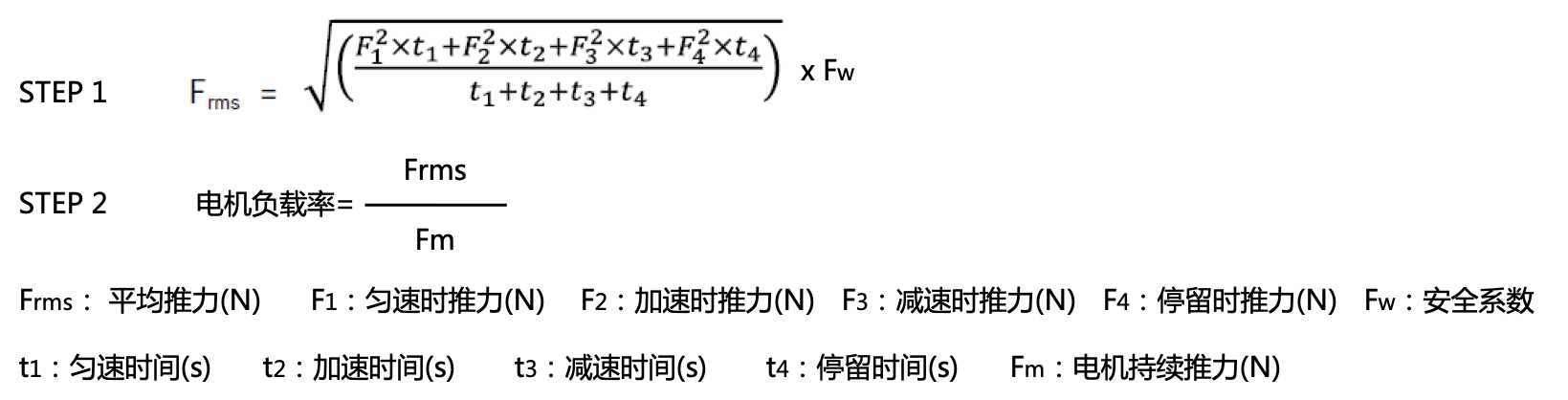
选型结果